| |||||||||||||||||
|
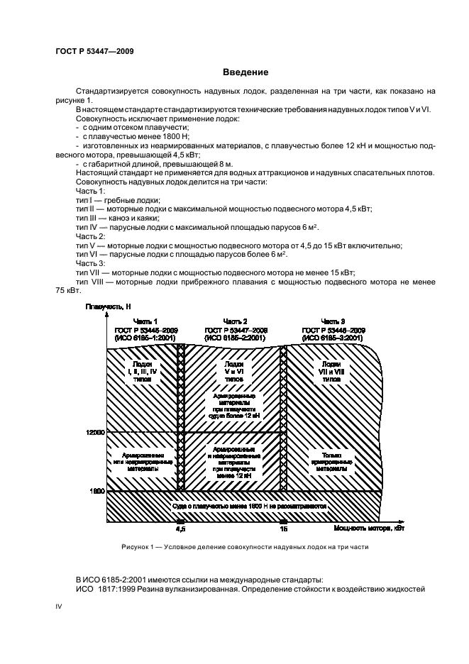
ГОСТ Р 53447-2009 (ИСО 6185-2:2001) Лодки надувные. Часть 2. Лодки с мощностью мотора 4,5 до 15 кВт включительно Название анг.: Inflatable boаts. Part 2. Boats with a maximum motor power rating of 4,5 kW to 15 kW inclusive
Описание документа:
Настоящий стандарт устанавливает минимальные требования по безопасности,
предъявляемые к применяемым материалам, изготовлению и испытанию надувных лодок
(включая жесткие надувные лодки) с габаритной длиной корпуса менее 8 м и
плавучестью не менее 1800 Н.
Переход в начало страницы. |